700.二叉搜索树中的搜索

二叉搜索树中的搜索

给定二叉搜索树(BST)的根节点 root 和一个整数值 val。

你需要在 BST 中找到节点值等于 val 的节点。 返回以该节点为根的子树。 如果节点不存在,则返回 null 。

示例 1:

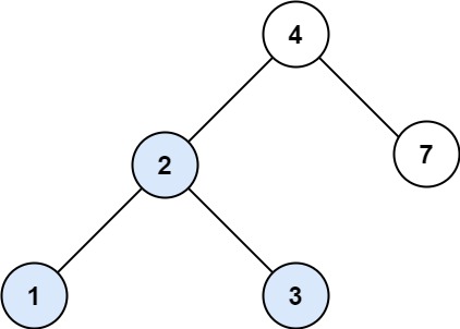
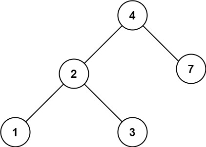
输入:root = [4,2,7,1,3], val = 2
输出:[2,1,3]

示例 2:

输入:root = [4,2,7,1,3], val = 5
输出:[]

示例 3:

输入:nums = [3,3], target = 6
输出:[0,1]

提示:

  • 数中节点数在 [1, 5000] 范围内
  • 1 <= Node.val <= $10^7$
  • root 是二叉搜索树
  • 1 <= val <= $10^7$

解析

1
2
3
4
5
6
7
8
9
10
11
12
13
14
15
16
17
18
19
20
21
22
23
/**
* Definition for a binary tree node.
* function TreeNode(val, left, right) {
* this.val = (val===undefined ? 0 : val)
* this.left = (left===undefined ? null : left)
* this.right = (right===undefined ? null : right)
* }
*/
/**
* @param {TreeNode} root
* @param {number} val
* @return {TreeNode}
*/
var searchBST = function (root, val) {
if (!root) return null;
if (root.val === val) {
return root;
} else if (root.val > val) {
return searchBST(root.left, val);
} else {
return searchBST(root.right, val);
}
};

700.二叉搜索树中的搜索
https://lz5z.com/700.search-in-a-binary-search-tree/
作者
tickli
发布于
2023年8月26日
许可协议