24.两两交换链表中的节点

两两交换链表中的节点

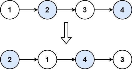
给你一个链表,两两交换其中相邻的节点,并返回交换后链表的头节点。你必须在不修改节点内部的值的情况下完成本题(即,只能进行节点交换)。

示例 1:

输入:head = [1,2,3,4]
输出:[2,1,4,3]

示例 2:

输入:head = []
输出:[]

示例 3:

输入:head = [1]
输出:[1]

提示:

  • 链表中节点的数目在范围 [0, 100] 内
  • 0 <= Node.val <= 100

解析

1
2
3
4
5
6
7
8
9
10
11
12
13
14
15
16
17
18
19
20
21
22
23
24
25
26
27
28
29
30
31
32
33
34
35
36
37
38
39
40
/**
* Definition for singly-linked list.
* function ListNode(val, next) {
* this.val = (val===undefined ? 0 : val)
* this.next = (next===undefined ? null : next)
* }
*/
/**
* @param {ListNode} head
* @return {ListNode}
*/
var swapPairs = function (head) {
if (!head || !head.next) return head;
const dump = new ListNode("");
dump.next = head;

let pre = dump; // 指针1
let cur = dump.next; // 指针2

// 0(dump) -> 1 -> 2 -> 3
// pre -> cur -> pNext
// 操作1: 0 -> 2
// 操作2: 2 -> 1
// 操作3: 1 -> 3
// 0 (dump) -> 2 -> 1 -> 3
// 更新 3个指针的位置
while (cur && cur.next) {
const pNext = cur.next; // 指针3
pre.next = pNext;
cur.next = pNext.next;
// 这一步放在后面执行因为如果先执行 pNext.next 指向就改变了
pNext.next = cur;

// 更新3个指针的位置
pre = cur;
cur = cur.next;
}

return dump.next;
};

24.两两交换链表中的节点
https://lz5z.com/24.swap-nodes-in-pairs/
作者
tickli
发布于
2023年7月16日
许可协议