206.反转链表

反转链表

给你单链表的头节点 head ,请你反转链表,并返回反转后的链表。

示例 1:

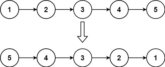
输入:head = [1,2,3,4,5]
输出:[5,4,3,2,1]

示例 2:

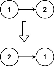
输入:head = [1,2]
输出:[2,1]

示例 3:

输入:head = []
输出:[]

提示:

  • 链表中节点的数目范围是 [0, 5000]
  • -5000 <= Node.val <= 5000

进阶:链表可以选用迭代或递归方式完成反转。你能否用两种方法解决这道题?

解析

使用循环的方式

1
2
3
4
5
6
7
8
9
10
11
12
13
14
15
16
17
var reverseList = function (head) {
let pre = null;
let curr = head;

while (curr) {
let next = curr.next;

curr.next = pre;

if (!next) {
return curr;
}
pre = curr;
curr = next;
}
return head;
};

使用递归的方式

1


206.反转链表
https://lz5z.com/206.reverse-linked-list/
作者
tickli
发布于
2023年8月11日
许可协议