160.相交链表

相交链表

给你两个单链表的头节点 headA 和 headB ,请你找出并返回两个单链表相交的起始节点。如果两个链表不存在相交节点,返回 null 。

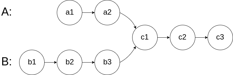
图示两个链表在节点 c1 开始相交:

题目数据 保证 整个链式结构中不存在环。

注意,函数返回结果后,链表必须 保持其原始结构

自定义评测:

评测系统 的输入如下(你设计的程序 不适用 此输入):

intersectVal - 相交的起始节点的值。如果不存在相交节点,这一值为 0
listA - 第一个链表
listB - 第二个链表
skipA - 在 listA 中(从头节点开始)跳到交叉节点的节点数
skipB - 在 listB 中(从头节点开始)跳到交叉节点的节点数
评测系统将根据这些输入创建链式数据结构,并将两个头节点 headA 和 headB 传递给你的程序。如果程序能够正确返回相交节点,那么你的解决方案将被 视作正确答案 。

解析

1
2
3
4
5
6
7
8
9
10
11
12
13
14
15
16
17
18
19
20
21
22
23
24
25
26
var getIntersectionNode = function (headA, headB) {
let p1 = headA;
let p2 = headB;

if (!p1 || !p2) return null;
if (p1 === p2) return p1;

while (true) {
p1 = p1.next;
p2 = p2.next;

if (p1 === null && p2 === null) {
return null;
}
if (p1 === null) {
p1 = headB;
}
if (p2 === null) {
p2 = headA;
}

if (p1 === p2) {
return p1;
}
}
};

优化一下代码

1
2
3
4
5
6
7
8
9
10
var getIntersectionNode = function (headA, headB) {
let p1 = headA;
let p2 = headB;

while (p1 !== p2) {
p1 = p1 ? p1.next : headB;
p2 = p2 ? p2.next : headA;
}
return p1;
};

160.相交链表
https://lz5z.com/160.intersection-of-two-linked-lists/
作者
tickli
发布于
2023年8月11日
许可协议